Programming/KUKA KRL 3

KUKA KRL 현재 로봇 위치를 지속적으로 PLC에게 알려 주려면

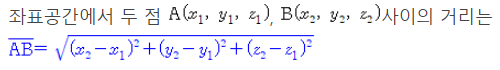
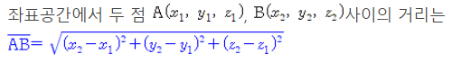
지난번 포스팅에서 로봇의 현재 위치가 특정 티칭위치 근처에 있는지 반환하는 함수를 소개해 드렸습니다. https://dsseo.tistory.com/6 KUKA KRL 현재위치가 특정 티칭위치 근처에 있는지 확인하는 함수 좌표공간에서 두 점 사이의 거리를 구하는 공식을 이용하여 로봇의 TCP가 특정 티칭위치 근처에 있는지 확인하는 함수를 소개합니다. 아래 함수는 첫번째 인수로 거리값을 mm로 받고, 두번째 인 dsseo.tistory.com 이번에는 해당 함수를 활용하여 지속적으로 PLC에게 로봇의 위치를 알려주는 방법을 소개해 드립니다. 산업용 로봇은 티칭된 위치에 있을 때 가장 안전 합니다. 로봇이 정지해 있을 때 누군가가 Jogging으로 로봇을 이도저도 아닌 위치로 이동시켜 두었다면, 해당위치에서..

KUKA KRL 현재 로봇 위치가 특정 티칭위치 근처에 있는지 확인하는 함수

좌표공간에서 두 점 사이의 거리를 구하는 공식을 이용하여 로봇의 TCP가 특정 티칭위치 근처에 있는지 확인하는 함수를 소개합니다. 아래 함수는 첫번째 인수로 거리값을 mm로 받고, 두번째 인수로 티칭 포지션을 받습니다. GLOBAL DEFFCT BOOL CHECK_LOCATION1(rDistance:IN,pCheckPos:IN) BOOL bReturnVal REAL X1,X2,Y1,Y2,Z1,Z2,rCalResult,rDistance E6POS pCheckPos bReturnVal=FALSE X1=$POS_ACT_MES.X Y1=$POS_ACT_MES.Y Z1=$POS_ACT_MES.Z X2=pCheckPos.X Y2=pCheckPos.Y Z2=pCheckPos.Z rCalResult=SQRT((X1-X..

KUKA KRL 숫자를 문자열로 변환하는 함수

산업용 프로그램에서 데이터 변환이 많이 이루어지지는 않지만, PC 스럽게(?) 코딩을 하다보면 간혹 변환이 필요할 때가 있습니다. 아래는 실수와 정수를 String으로 변환하는 코드의 예제 입니다. 1. 실수를 String으로 변환하는 함수 GLOBAL DEFFCT Bool RealToString(DestStr[]:OUT, RealVar:IN) DECL CHAR DestStr[] DECL REAL RealVar DECL STATE_T STATE DECL INT OFFSET DECL BOOL Conversion_OK OFFSET=0 IF STRCLEAR(DestStr[]) THEN SWRITE(DestStr[],STATE,OFFSET,"%f",RealVar) Conversion_OK=TRUE ELSE Co..